CloudHà Tĩnh 26° - 37°C
CloudHà Tĩnh 26° - 37°C
Thông báo lịch tiếp công dân định kỳ tháng 4 năm 2025Thông báo về việc gia hạn thời gian đăng ký tham gia các Lớp bồi dưỡng kiến thức, kỹ năng xử lý các vấn đề pháp lý trong đàm phán, thực hiện điều ước quốc tế, thoả thuận quốc tế và giải quyết tranh chấp đầu tư quốc tế năm 2025Thông báo về việc gia hạn thời gian đăng ký Lớp bồi dưỡng nghiệp vụ Luật sưThông báo về việc triển khai thực hiện ấn phẩm "Thanh niên với pháp luật trong kỷ nguyên mới"Thông báo nghỉ lễ Giỗ tổ Hùng Vương, ngày Chiến thắng 30/4 và ngày Quốc tế Lao động 01/5 năm 2025Thông báo Khóa học nâng cao về Chính sách thương mại của WTO năm 2025 (trình độ 3)Học viện Tư pháp thông báo gia hạn thời gian đăng ký tham gia Lớp bồi dưỡng nghiệp vụ công chứngThông báo nghỉ lễ Giỗ tổ Hùng Vương, ngày Chiến thắng 30/4 và ngày Quốc tế Lao động 01/5 năm 2025Thông báo Chương trình Chuyên gia trẻ WTO (Young Professional Programme)UBND xã Hương Khê thông báo: Số 200/UBND- VHXH , V/v chậm chi trả trợ cấp ưu đãi người có công với cách mạng tháng 8/2025.HƯỞNG ỨNG THAM GIA GIẢI BÁO CHÍ “VÌ SỰ NGHIỆP ĐẠI ĐOÀN KẾT TOÀN DÂN TỘC” LẦN THỨ XVII, NĂM 2025-2026, GIẢI BÚA LIỀM VÀNG CẤP TỈNH LẦN THỨ VIII – NĂM 2025Trường Mầm non Phú Phong thông báo tuyển sinh năm học 2025- 2026Thông báo Tuyển dụng giáo viên các trường Mầm non, THCS, THPT, Trung tâm GDNN- GDTX năm 2025Thông báo danh sách các thửa đất dự kiến thực hiện giao đất thông qua đấu giá quyền sử dụng đất trên địa bàn xãTHÔNG BÁO: Về việc niêm yết danh sách cử tri bầu cử đại biểu Quốc hội khóa XVI và đại biểu HĐND các cấp nhiệm kỳ 2026-2031.Thông báo danh sách các thửa đất dự kiến thực hiện giao đất thông qua đấu giá quyền sử dụng đất trên địa bàn xãTHÔNG BÁO Về việc tìm thân nhân của trẻ bị bỏ rơiThông báo về việc tìm thân nhân của trẻ bị bỏ rơiTHÔNG BÁO Về việc lựa chọn tổ chức hành nghề đấu giá tài sản QUYẾT ĐỊNH Về việc phê duyệt kết quả lựa chọn tổ chức hành nghề đấu giá Quyền sử dụng đất đối với dự án các khu đất quy hoạch xen dắm dân cư trên địa bàn xã Hương Khê, tỉnh Hà TĩnhThông báo về việc lựa chọn tổ chức hành nghề đấu giá tài sản QUYẾT ĐỊNH Về việc ban hành Quy chế cuộc đấu giá tài sảnQUY CHẾ CUỘC ĐẤU GIÁ TÀI SẢN Quyết định về việc công khai số liệu phân bố dự toán thu, chi ngân sách năm 2025 được HĐND xã phê chuẩnTHÔNG BÁO Về việc tìm thân nhân của trẻ bị bỏ rơiThông báo lịch tiếp công dân định kỳ tháng 4 năm 2025Thông báo về việc gia hạn thời gian đăng ký tham gia các Lớp bồi dưỡng kiến thức, kỹ năng xử lý các vấn đề pháp lý trong đàm phán, thực hiện điều ước quốc tế, thoả thuận quốc tế và giải quyết tranh chấp đầu tư quốc tế năm 2025Thông báo về việc gia hạn thời gian đăng ký Lớp bồi dưỡng nghiệp vụ Luật sưThông báo về việc triển khai thực hiện ấn phẩm "Thanh niên với pháp luật trong kỷ nguyên mới"Thông báo nghỉ lễ Giỗ tổ Hùng Vương, ngày Chiến thắng 30/4 và ngày Quốc tế Lao động 01/5 năm 2025Thông báo Khóa học nâng cao về Chính sách thương mại của WTO năm 2025 (trình độ 3)Học viện Tư pháp thông báo gia hạn thời gian đăng ký tham gia Lớp bồi dưỡng nghiệp vụ công chứngThông báo nghỉ lễ Giỗ tổ Hùng Vương, ngày Chiến thắng 30/4 và ngày Quốc tế Lao động 01/5 năm 2025Thông báo Chương trình Chuyên gia trẻ WTO (Young Professional Programme)UBND xã Hương Khê thông báo: Số 200/UBND- VHXH , V/v chậm chi trả trợ cấp ưu đãi người có công với cách mạng tháng 8/2025.HƯỞNG ỨNG THAM GIA GIẢI BÁO CHÍ “VÌ SỰ NGHIỆP ĐẠI ĐOÀN KẾT TOÀN DÂN TỘC” LẦN THỨ XVII, NĂM 2025-2026, GIẢI BÚA LIỀM VÀNG CẤP TỈNH LẦN THỨ VIII – NĂM 2025Trường Mầm non Phú Phong thông báo tuyển sinh năm học 2025- 2026Thông báo Tuyển dụng giáo viên các trường Mầm non, THCS, THPT, Trung tâm GDNN- GDTX năm 2025Thông báo danh sách các thửa đất dự kiến thực hiện giao đất thông qua đấu giá quyền sử dụng đất trên địa bàn xãTHÔNG BÁO: Về việc niêm yết danh sách cử tri bầu cử đại biểu Quốc hội khóa XVI và đại biểu HĐND các cấp nhiệm kỳ 2026-2031.Thông báo danh sách các thửa đất dự kiến thực hiện giao đất thông qua đấu giá quyền sử dụng đất trên địa bàn xãTHÔNG BÁO Về việc tìm thân nhân của trẻ bị bỏ rơiThông báo về việc tìm thân nhân của trẻ bị bỏ rơiTHÔNG BÁO Về việc lựa chọn tổ chức hành nghề đấu giá tài sản QUYẾT ĐỊNH Về việc phê duyệt kết quả lựa chọn tổ chức hành nghề đấu giá Quyền sử dụng đất đối với dự án các khu đất quy hoạch xen dắm dân cư trên địa bàn xã Hương Khê, tỉnh Hà TĩnhThông báo về việc lựa chọn tổ chức hành nghề đấu giá tài sản QUYẾT ĐỊNH Về việc ban hành Quy chế cuộc đấu giá tài sảnQUY CHẾ CUỘC ĐẤU GIÁ TÀI SẢN Quyết định về việc công khai số liệu phân bố dự toán thu, chi ngân sách năm 2025 được HĐND xã phê chuẩnTHÔNG BÁO Về việc tìm thân nhân của trẻ bị bỏ rơiThông báo lịch tiếp công dân định kỳ tháng 4 năm 2025Thông báo về việc gia hạn thời gian đăng ký tham gia các Lớp bồi dưỡng kiến thức, kỹ năng xử lý các vấn đề pháp lý trong đàm phán, thực hiện điều ước quốc tế, thoả thuận quốc tế và giải quyết tranh chấp đầu tư quốc tế năm 2025Thông báo về việc gia hạn thời gian đăng ký Lớp bồi dưỡng nghiệp vụ Luật sưThông báo về việc triển khai thực hiện ấn phẩm "Thanh niên với pháp luật trong kỷ nguyên mới"Thông báo nghỉ lễ Giỗ tổ Hùng Vương, ngày Chiến thắng 30/4 và ngày Quốc tế Lao động 01/5 năm 2025Thông báo Khóa học nâng cao về Chính sách thương mại của WTO năm 2025 (trình độ 3)Học viện Tư pháp thông báo gia hạn thời gian đăng ký tham gia Lớp bồi dưỡng nghiệp vụ công chứngThông báo nghỉ lễ Giỗ tổ Hùng Vương, ngày Chiến thắng 30/4 và ngày Quốc tế Lao động 01/5 năm 2025Thông báo Chương trình Chuyên gia trẻ WTO (Young Professional Programme)UBND xã Hương Khê thông báo: Số 200/UBND- VHXH , V/v chậm chi trả trợ cấp ưu đãi người có công với cách mạng tháng 8/2025.HƯỞNG ỨNG THAM GIA GIẢI BÁO CHÍ “VÌ SỰ NGHIỆP ĐẠI ĐOÀN KẾT TOÀN DÂN TỘC” LẦN THỨ XVII, NĂM 2025-2026, GIẢI BÚA LIỀM VÀNG CẤP TỈNH LẦN THỨ VIII – NĂM 2025Trường Mầm non Phú Phong thông báo tuyển sinh năm học 2025- 2026Thông báo Tuyển dụng giáo viên các trường Mầm non, THCS, THPT, Trung tâm GDNN- GDTX năm 2025Thông báo danh sách các thửa đất dự kiến thực hiện giao đất thông qua đấu giá quyền sử dụng đất trên địa bàn xãTHÔNG BÁO: Về việc niêm yết danh sách cử tri bầu cử đại biểu Quốc hội khóa XVI và đại biểu HĐND các cấp nhiệm kỳ 2026-2031.Thông báo danh sách các thửa đất dự kiến thực hiện giao đất thông qua đấu giá quyền sử dụng đất trên địa bàn xãTHÔNG BÁO Về việc tìm thân nhân của trẻ bị bỏ rơiThông báo về việc tìm thân nhân của trẻ bị bỏ rơiTHÔNG BÁO Về việc lựa chọn tổ chức hành nghề đấu giá tài sản QUYẾT ĐỊNH Về việc phê duyệt kết quả lựa chọn tổ chức hành nghề đấu giá Quyền sử dụng đất đối với dự án các khu đất quy hoạch xen dắm dân cư trên địa bàn xã Hương Khê, tỉnh Hà TĩnhThông báo về việc lựa chọn tổ chức hành nghề đấu giá tài sản QUYẾT ĐỊNH Về việc ban hành Quy chế cuộc đấu giá tài sảnQUY CHẾ CUỘC ĐẤU GIÁ TÀI SẢN Quyết định về việc công khai số liệu phân bố dự toán thu, chi ngân sách năm 2025 được HĐND xã phê chuẩnTHÔNG BÁO Về việc tìm thân nhân của trẻ bị bỏ rơi

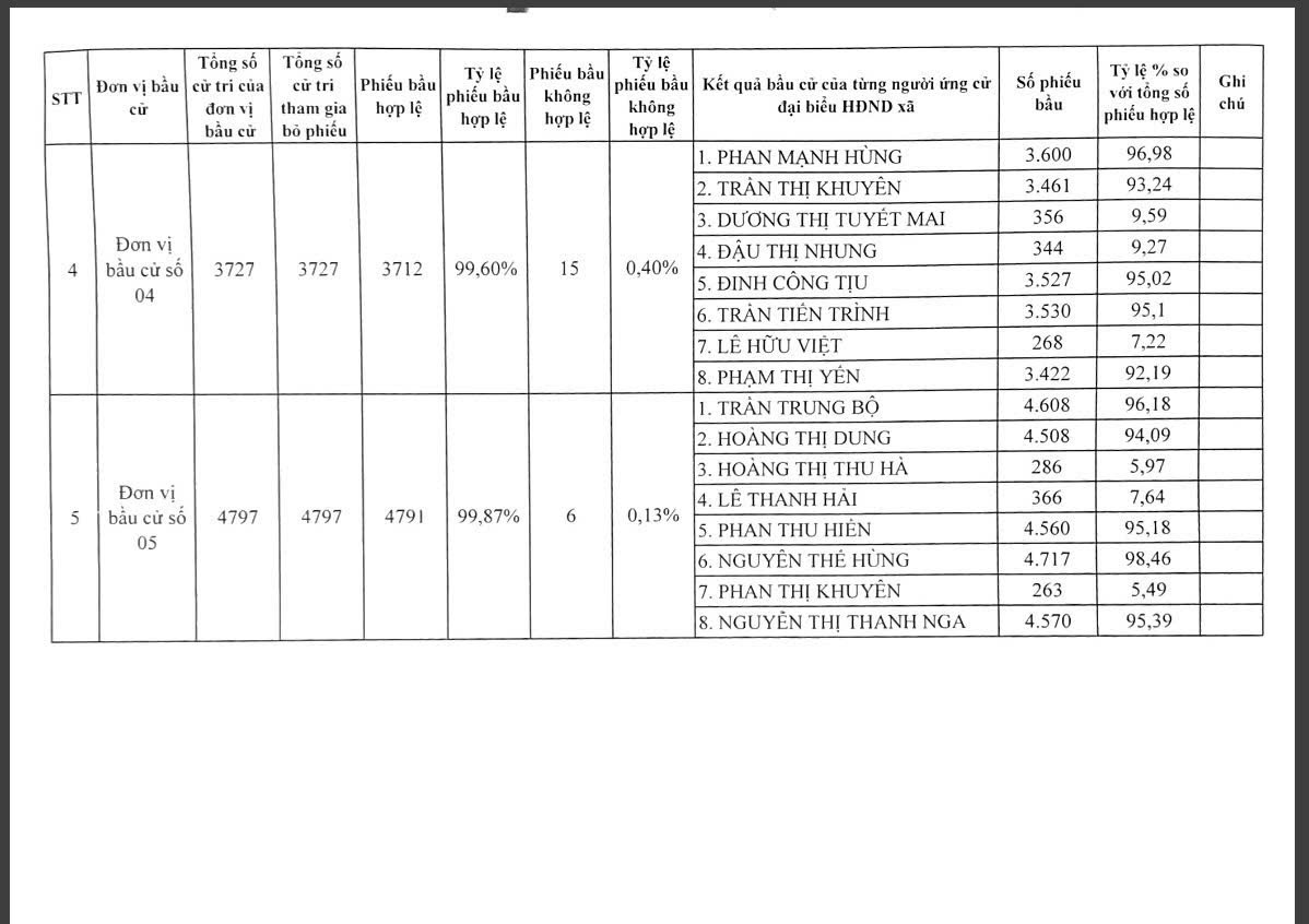
Nghị quyết về việc công bố kết quả và danh sách những người trúng cử đại biểu HĐND xã Hương Khê khóa II, nhiệm kỳ 2026 - 2031

Ẩn danh18/03/2026
Ẩn danh18/03/2026

 

 

 

 

 

 

 

 

binh-luan

chua-co-binh-luan-nao